Sie sind hier:

Verfahren und Nachweise für Neubauten und Bauen im Bestand

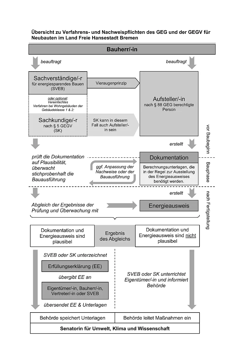
Die Einhaltung der gesetzlichen Anforderungen des Gebäudeenergierechts bei der Errichtung sowie dem Ausbau, der Erweiterung von Gebäuden und bei bestimmten Änderungen wird in Bremen in einem eigenständigen, vom bauaufsichtlichen Vollzug unabhängigen Verfahren kontrolliert.

Mit dem am 1. November 2020 in Kraft getretenen Gebäudeenergiesetz (GEG) ist bundesweit die Erfüllungserklärung eingeführt worden, mit der bei der Errichtung sowie beim Ausbau oder Erweiterung und bei bestimmten Änderungen die Einhaltung der gesetzlichen Anforderungen nachgewiesen werden muss.

Wesentliches Element des Verfahrens bei der Errichtung von Gebäuden ist, dass von den Bauherrinnen oder Bauherren vor Baubeginn eine Sachverständige oder ein Sachverständiger für energiesparendes Bauen beauftragt werden muss. Diese oder dieser überwacht, ob die gesetzlichen Anforderungen eingehalten werden und stellt die Erfüllungserklärung aus. Für Wohngebäude der Gebäudeklasse 1 und 2 ist ein vereinfachtes Verfahren möglich.

Bei dem Ausbau und der Erweiterung sowie bei bestimmten Änderungen von Gebäuden ist von der Bauherrin oder dem Bauherrn eine Person, die zur Ausstellung eines Energieausweises nach § 88 GEG berechtigt ist, mit der Ausstellung der Erfüllungserklärung zu beauftragen.

Bei der Ausstellung der Erfüllungserklärungen sind die im Amtsblatt (pdf, 1.2 MB) bekannt gemachten Mustervorlagen zu verwenden. Für ein ausfüllbares PDF-Dokument der Erfüllungserklärung können Sie die nachfolgenden Vordrucke verwenden:

Erfüllungserklärung
VordruckAnwendungsfall
Erfüllungserklärung 'Neubauten' (pdf, 27 KB)bei der Errichtung von Gebäuden
Erfüllungserklärung 'Bestand' (pdf, 389.5 KB)bei dem Ausbau, der Erweiterung und bestimmten Änderungen von Gebäuden

Die ausgestellten Erfüllungserklärungen sind der Senatorin für Umwelt, Klima und Wissenschaft in elektronischer Form (PDF) unter der E-Mail-Adresse geg@umwelt.bremen.de zuzusenden.

Für Änderungen an Gebäuden, für die keine Erfüllungserklärung erforderlich ist, sind für bestimmte Baumaßnahmen nach dem GEG private Nachweise verpflichtend, die von den ausführenden Fachfirmen zu erstellen sind. Im Land Bremen können Sie die bereitgestellten Vordrucke verwenden:

Weitere Informationen entnehmen Sie bitte dem nachfolgenden Merkblatt:

Die vor dem 1. November 2020 geltende Energieeinsparverordnung (EnEV) und das Erneuerbare-Energien-Wärmegesetz (EEWärmeG) sind außer Kraft getreten, gelten allerdings im Rahmen der Übergangsvorschrift nach § 111 GEG insbesondere für Gebäude, bei denen der Bauantrag bereits vor dem 1. November 2020 gestellt oder die Bauanzeige eingereicht wurde, fort. Auch die bisher in Bremen geltenden Vollzugsvorschriften finden für diese Vorhaben weiterhin Anwendung.

Weitere Informationen für die Vorhaben, die noch nach der EnEV und dem EEWärmeG zu beurteilen sind, entnehmen Sie bitte dem nachfolgenden Merkblatt:

Sachverständige für energiesparendes Bauen

Sachverständige für energiesparendes Bauen stellen nach der Prüfung von Unterlagen und der stichprobenartigen Überwachung der Bauausführung die Erfüllungserklärung nach der Errichtung von Nichtwohngebäuden und Wohngebäuden aus. Bei Wohngebäuden der Gebäudeklassen 1 und 2 kann dies auch durch Sachkundige erfolgen.

Sachverständige für energiesparendes Bauen werden auf ihre besondere fachliche Qualifikation geprüft, von der Ingenieurkammer zugelassen und in einer Liste veröffentlicht.

Weitere Informationen zur Anerkennung als Sachverständige für energiesparendes Bauen erhalten Sie auf dem Merkblatt der Ingenieurkammer Bremen.